
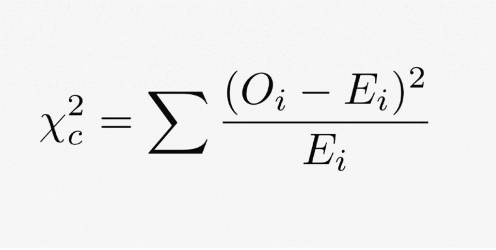
This is the Chi-Squared Test, as a formula.
We have two variables; landscape type and Royalism. Underwood says that they are are dependent and causal (that is, the two variables are linked and one causes the other). We can apply a statistical test – the Chi-Squared test – to assess whether this is, in fact, the case.
The test gives a ‘score’ for our data, and if we accept a 5% error this sets a ‘hurdle’ which has to be exceeded before we can be sure of our hypothesis.
Graphically, we’re doing this: we apply the test methodology to our data and calculate a Chi-Squared (x2) value, and see where it sits on a known distribution:

… which is a bit more approachable than looking at a formula.